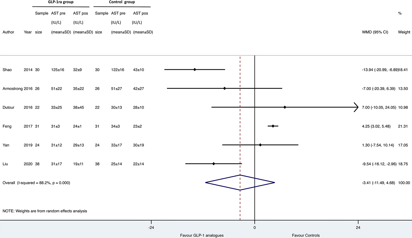
Forest plot and pooled estimates of the effect of GLP-1 RAs on changes in serum aspartate aminotransferase (AST) levels of in the eligible RCTs (n = 6). The effect size was expressed as WMD and 95% CIs
Supplementary materials
The supplementary material for this article is available at:
AM and GT contributed to study concept and design, acquisition of data, and drafting of the manuscript. AM and GT contributed to statistical analysis of data. AM, GB, GP, FP, DS, and GT contributed to analysis and interpretation of data. GB, GP, FP, and DS contributed to critical revision of the manuscript for important intellectual content. AM and GT are the guarantor of this work and, as such, had full access to all the data in the study and takes responsibility for the integrity of the data and the accuracy of the data analysis.
Conflicts of interest
The authors declare that they have no conflicts of interest.
Byrne CD, Patel J, Scorletti E, Targher G.Tests for diagnosing and monitoring non-alcoholic fatty liver disease in adults. BMJ.2018;362:k2734. [DOI] [PubMed]
Mantovani A, Scorletti E, Mosca A, Alisi A, Byrne CD, Targher G.Complications, morbidity and mortality of nonalcoholic fatty liver disease. Metabolism.2020;[Epub ahead of print]. [DOI]
Mantovani A, Turino T, Lando MG, Gjini K, Byrne CD, Zusi C, et al. Screening for non-alcoholic fatty liver disease using liver stiffness measurement and its association with chronic kidney disease and cardiovascular complications in patients with type 2 diabetes. Diabetes Metab.2019;[Epub ahead of print]. [DOI]
Adams LA, Anstee QM, Tilg H, Targher G.Non-alcoholic fatty liver disease and its relationship with cardiovascular disease and other extrahepatic diseases. Gut.2017;66:1138–53. [DOI] [PubMed]
Targher G, Lonardo A, Byrne CD.Nonalcoholic fatty liver disease and chronic vascular complications of diabetes mellitus. Nat Rev Endocrinol.2018;14:99–114. [DOI] [PubMed]
Byrne CD, Targher G.NAFLD as a driver of chronic kidney disease. J Hepatol.2020;72:785–801. [DOI] [PubMed]
Non-alcoholic Fatty Liver Disease Study Group; Lonardo A, Bellentani S, Argo CK, Ballestri S, Byrne CD, Caldwell SH, et al. Epidemiological modifiers of non-alcoholic fatty liver disease: focus on high-risk groups. Dig Liver Dis.2015;47:997–1006. [DOI] [PubMed]
Dulai PS, Singh S, Patel J, Soni M, Prokop LJ, Younossi Z, et al. Increased risk of mortality by fibrosis stage in nonalcoholic fatty liver disease: systematic review and meta-analysis. Hepatology.2017;65:1557–65. [DOI] [PubMed] [PMC]
Ekstedt M, Hagström H, Nasr P, Fredrikson M, Stål P, Kechagias S, et al. Fibrosis stage is the strongest predictor for disease-specific mortality in NAFLD after up to 33 years of follow-up. Hepatology.2015;61:1547–54. [DOI] [PubMed]
Vilar-Gomez E, Calzadilla-Bertot L, Wai-Sun Wong V, Castellanos M, Aller-de la Fuente R, Metwally M.Fibrosis severity as a determinant of cause-specific mortality in patients with advanced nonalcoholic fatty liver disease: a multi-national cohort study. Gastroenterology.2018;155:443–57.e17. [DOI] [PubMed]
Mantovani A, Byrne CD, Bonora E, Targher G.Nonalcoholic fatty liver disease and risk of incident type 2 diabetes: a meta-analysis. Diabetes Care.2018;41:372–82. [DOI] [PubMed]
Ballestri S, Zona S, Targher G, Romagnoli D, Baldelli E, Nascimbeni F, et al. Nonalcoholic fatty liver disease is associated with an almost twofold increased risk of incident type 2 diabetes and metabolic syndrome. Evidence from a systematic review and meta-analysis. J Gastroenterol Hepatol.2016;31:936–44. [DOI] [PubMed]
Chalasani N, Younossi Z, Lavine JE, Charlton M, Cusi K, Rinella M, et al. The diagnosis and management of nonalcoholic fatty liver disease: practice guidance from the American Association for the Study of Liver Diseases. Hepatology.2018;67:328–57. [DOI] [PubMed]
European Association for the Study of the Liver (EASL); European Association for the Study of Diabetes (EASD); European Association for the Study of Obesity (EASO). EASL-EASD-EASO Clinical Practice Guidelines for the management of non-alcoholic fatty liver disease. J Hepatol.2016;64:1388–402. [DOI] [PubMed]
Mantovani A, Byrne CD, Scorletti E, Mantzoros CS, Targher G.Efficacy and safety of anti-hyperglycaemic drugs in patients with non-alcoholic fatty liver disease with or without diabetes: an updated systematic review of randomized controlled trials. Diabetes Metab.2020;[Epub ahead of print]. [DOI]
American Diabetes Association. Pharmacologic approaches to glycemic treatment: standards of medical care in diabetes-2018. Diabetes Care.2018;41Suppl 1:S73–85. [DOI] [PubMed]
Kristensen SL, Rørth R, Jhund PS, Docherty KF, Sattar N, Preiss D, et al. Cardiovascular, mortality, and kidney outcomes with GLP-1 receptor agonists in patients with type 2 diabetes: a systematic review and meta-analysis of cardiovascular outcome trials. Lancet Diabetes Endocrinol.2019;7:776–85. [DOI] [PubMed]
Shao N, Kuang HY, Hao M, Gao XY, Lin WJ, Zou W.Benefits of exenatide on obesity and non-alcoholic fatty liver disease with elevated liver enzymes in patients with type 2 diabetes. Diabetes Metab Res Rev.2014;30:521–9. [DOI] [PubMed]
Armstrong MJ, Gaunt P, Aithal GP, Barton D, Hull D, Parker R, et al. Liraglutide safety and efficacy in patients with non-alcoholic steatohepatitis (LEAN): a multicentre, double-blind, randomised, placebo-controlled phase 2 study. Lancet.2016;387:679–90. [DOI] [PubMed]
Dutour A, Abdesselam I, Ancel P, Kober F, Mrad G, Darmon P, et al. Exenatide decreases liver fat content and epicardial adipose tissue in patients with obesity and type 2 diabetes: a prospective randomized clinical trial using magnetic resonance imaging and spectroscopy. Diabetes Obes Metab.2016;18:882–91. [DOI] [PubMed]
Feng W, Gao C, Bi Y, Wu M, Li P, Shen S, et al. Randomized trial comparing the effects of gliclazide, liraglutide, and metformin on diabetes with non-alcoholic fatty liver disease. J Diabetes.2017;9:800–9. [DOI] [PubMed]
Frøssing S, Nylander M, Chabanova E, Frystyk J, Holst JJ, Kistorp C, et al. Effect of liraglutide on ectopic fat in polycystic ovary syndrome: a randomized clinical trial. Diabetes Obes Metab.2018;20:215–8. [DOI] [PubMed]
Yan J, Yao B, Kuang H, Yang X, Huang Q, Hong T, et al. Liraglutide, sitagliptin, and insulin glargine added to metformin: the effect on body weight and intrahepatic lipid in patients with type 2 diabetes mellitus and nonalcoholic fatty liver disease. Hepatology.2019;69:2414–26. [DOI] [PubMed] [PMC]
Liu L, Yan H, Xia M, Zhao L, Lv M, Zhao N, et al. Efficacy of exenatide and insulin glargine on nonalcoholic fatty liver disease in patients with type 2 diabetes. Diabetes Metab Res Rev.2020;[Epub ahead of print]. [DOI]
Amstrong MJ, Houlihan DD, Rowe IA, Clausen WH, Elbrønd B, Gough SC, et al. Safety and efficacy of liraglutide in patients with type 2 diabetes and elevated liver enzymes: individual patient data meta-analysis of the LEAD program. Aliment Pharmacol Ther.2013;37:234–42. [DOI] [PubMed]
Gluud LL, Knop FK, Vilsbøll T.Effects of lixisenatide on elevated liver transaminases: systematic review with individual patient data meta-analysis of randomised controlled trials on patients with type 2 diabetes. BMJ Open.2014;4:e005325. [DOI]
Higgins JP, Altman DG, Gøtzsche PC, Jüni P, Moher D, Oxman AD et al; Cochrane Bias Methods Group; Cochrane Statistical Methods Group. The Cochrane Collaboration’s tool for assessing risk of bias in randomised trials. BMJ.2011;343:d5928. [DOI] [PubMed] [PMC]
Higgins JPT, Green S, editor. Cochrane handbook for systematic reviews of interventions. 5.1.0 version. Oxford: Cochrane Collaboration; 2011.
Wiebe N, Vandermeer B, Platt RW, Klassen TP, Moher D, Barrowman NJ.A systematic review identifies a lack of standardization in methods for handling missing variance data. J Clin Epidemiol.2006;59:342–53. [DOI] [PubMed]
Higgins JPT, Thompson SG.Quantifying heterogeneity in a meta-analysis. Stat Med.2002;21:1539–58. [DOI] [PubMed]
Ding X, Saxena NK, Lin S, Gupta NA, Anania FA.Exendin-4, a glucagon-like protein-1 (GLP-1) receptor agonist, reverses hepatic steatosis in ob/ob mice. Hepatology.2006;43:173–81. [DOI] [PubMed] [PMC]
Gupta NA, Mells J, Dunham RM, Grakoui A, Handy J, Saxena NK, et al. Glucagon-like peptide-1 receptor is present on human hepatocytes and has a direct role in decreasing hepatic steatosis in vitro by modulating elements of the insulin signaling pathway. Hepatology.2010;51:1584–92. [DOI] [PubMed] [PMC]
Dhir G, Cusi K.Glucagon like peptide-1 receptor agonists for the management of obesity and non-alcoholic fatty liver disease: a novel therapeutic option. J Investig Med.2018;66:7–10. [DOI]
Younossi ZM, Loomba R, Anstee QM, Rinella ME, Bugianesi E, Marchesini G, et al. Diagnostic modalities for nonalcoholic fatty liver disease, nonalcoholic steatohepatitis, and associated fibrosis. Hepatology.2018;68:349–60. [DOI] [PubMed] [PMC]
Marso SP, Daniels GH, Brown-Frandsen K, Kristensen P, Mann JFE, Nauck MA et al; LEADER Steering Committee; LEADER Trial Investigators. Liraglutide and cardiovascular outcomes in type 2 diabetes. N Engl J Med.2016;375:311–22. [DOI] [PubMed] [PMC]
Marso SP, Bain SC, Consoli A, Eliaschewitz FG, Jódar E, Leiter LA et al; SUSTAIN-6 Investigators. Semaglutide and cardiovascular outcomes in patients with type 2 diabetes. N Engl J Med.2016;375:1834–44. [DOI] [PubMed]
Holman RR, Bethel MA, Mentz RJ, Thompson VP, Lokhnygina Y, Buse JB et al; EXSCEL Study Group. Effects of once-weekly exenatide on cardiovascular outcomes in type 2 diabetes. N Engl J Med.2017;377:1228–39. [DOI] [PubMed]
Hernandez AF, Green JB, Janmohamed S, D’Agostino RB Sr, Granger CB, Jones NP et al; Harmony Outcomes committees and investigators. Albiglutide and cardiovascular outcomes in patients with type 2 diabetes and cardiovascular disease (Harmony Outcomes): a double-blind, randomised placebo-controlled trial. Lancet.2018;392:1519–29. [DOI] [PubMed]
Gerstein HC, Colhoun HM, Dagenais GR, Diaz R, Lakshmanan M, Pais P et al; REWIND Investigators. Dulaglutide and cardiovascular outcomes in type 2 diabetes (REWIND): a double-blind, randomised placebo-controlled trial. Lancet.2019;394:121–30. [DOI] [PubMed]